福纳斯 FORNAX
供应商: 福纳斯 (FORNAX)
高性能化学,驱动工业创新
FORNAX Chemica 总部位于德国化学工业核心地带——勒沃库森(Leverkusen),公司前身为德国与荷兰的合资企业,秉持欧洲科研传统,专注于高性能材料的开发与应用,持续为全球塑料、涂料、能源与农业等领域提供前沿化学解决方案。
🌟 专注于高性能材料的创新与突破:
我们致力于推动工业效率与材料性能的双重提升,核心技术涵盖:
核心产品线:

FORNAWAX®
高效分散剂系列,适用于颜料、塑料、油墨、涂料等多种体系
- 提升颗粒分布均匀性
- 降低粘度,优化加工流程
- 增强体系稳定性与色彩表现




FORNAPLUS®
高性能添加剂系列,用于改善材料在高温、剪切等工况下的稳定性
- 提升热稳定性与抗氧化性能
- 改善流动性、脱模与表面质量
- 适用于工程塑料、高填充体系、复合材料等


全球制造布局:
FORNAX® 拥有覆盖全球的制造网络,生产基地分布于:
德国、比利时、塞舌尔、新加坡、日本、中国、越南、印度尼西亚
全球布局确保我们能为不同市场、不同气候环境下的客户提供稳定、快速、符合本地法规的产品供应。
应用领域涵盖:
🔗 福纳斯的信念:
福纳斯产品
-
FORNAWAX XS-326
简介
经过表面处理的改性聚硅氧烷产品 :
● 聚烯烃类 PE, PP 等
● 功能性聚合物 PA6,PA66 等
● 填充性基料
● 工业聚合物
● 色母料品牌
FORNAWAX
型号
XS-326
应用
● 提高塑料加工流动性和脱模性能;
● 降低扭矩,减少设备磨损易充模,
● 降低制品不良率;
● 明显降低摩擦系数,提高爽滑性能,
● 改善表面光泽,增进表面丝质触感,
● 提高耐磨性及产品耐擦刮性能;
● 提高阻燃性能,降低烟密度,
● 提高阻燃(高填充)材料冲击强度和表面光泽度,
● 具有良好的稳定性和非迁移性,表面无析出
● 在电缆料领域降低扭矩、提高线缆混合料熔指,提高出现速率;
● 不建议应用于要求外观透明项目产品。 -
FORNAWAX XS-350
简介
两端极性的有机硅塑料加工助剂,主要起润滑和分散颜料、填料的作用
● 聚烯烃类 PE, PP 等
● 功能性聚合物 PA6,PA66 等
● 填充性基料
● 工业聚合物
● 色母料品牌
FORNAWAX
型号
XS-350
应用
显着分散填料和颜料:
● 在挤出过程中,显着提高填料(如阻燃剂、玻纤等)等的分散性,从而提高了制品的阻燃性能或力学性能 ;
● 改善表面光泽度和爽滑性,消除因加填料(如玻纤等)而引起的表面缺陷,降低不良率 ;
● 加大填充物的添加量,降低生产成本。出色的润滑性能:
● 增加产品挤出速度,减少次品率,提高塑料加工的流动性 ;
● 降低扭矩、提高充模和脱模能力 ;
● 提高制品的表面滑爽性(手感)、耐磨、抗刮性 ;
● 提高产品自洁性能。无迁移,稳定性好:
● 与聚合物载体的兼容性好,无渐进性迁移趋势。
-
FORNAPLUS MB-W60VA
简介
FORNAPLUS™ MB-W60VA 以优质的 TRONOX 金红石型二氧化钛为主要原料,并以乙烯-醋酸乙烯共聚物 (EVA) 为载体制成。
产品优势:
• 出色的颜色稳定性
• 卓越的分散性
• 优良的抗紫外线性能
• 高着色力,带有蓝色调
• 无粉尘
• 无毒、环保品牌
FORNAPLUS
型号
MB-W60VA
应用
• 鞋材
• 发泡EVA制品规格
項目 指標 組成物 60% 二氧化鈦 (鈦白粉)
40% 乙烯-醋酸乙烯酯共聚物密度 ~ 1,75 g/cm³ 外觀 白色顆粒 建議添加量 5 – 20 phr -
FORNAPLUS OX-1010
简介
一种高效,无色污受阻酚抗氧剂。可用于塑料,合成纤维,弹性体,胶粘剂,蜡,油品和脂肪,防止基材热氧化降解。
品牌
FORNAPLUS
型号
OX-1010
应用
应用的范围包括聚烯烃,如聚乙烯,聚丙烯,聚丁烯和烯烃共聚物如EVA。也推荐用于其他类型的高聚物,如聚醛树脂,聚酰胺,聚氨酯,聚酯,PVC,苯乙烯均聚或共聚物,ABS,弹性体(包括丁基橡胶,SBS,SEBS,EPM,EPDM以及其它种类的合成橡胶),黏合剂(天然和合成粘结剂)及其他有机材料。
化学名称
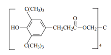
四[3-(3,5-二叔丁基-4-羟苯基)丙酸]季戊醇酯

规格
項目 數值/特性 分子量 1178 g/mol 熔点 ℃ 110-125℃ 产品形态 白色自由流动粉末 包装规格 25 kg/bag -
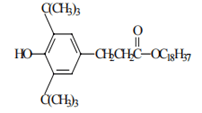
FORNAPLUS OX-1076
简介
一种高效,无色污受阻酚抗氧剂。可用于塑料,合成纤维,弹性体,胶粘剂,蜡,油品和脂肪,防止基材热氧化降解。无味,对光稳定,不易变色。同基材有很好的相容性。挥发性小,抗抽出性好。
品牌
FORNAPLUS
型号
OX-1076
应用
应用的范围包括聚烯烃,如聚乙烯,聚丙烯,聚丁烯。也推荐用于其他类型的高聚物,如工程塑料,如聚醛树脂,聚氨酯,苯乙烯均聚或共聚物,弹性体,黏合剂及其他有机材料。
化学名称
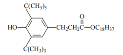
β-(3,5-二叔丁基-4-羟基苯基)丙酸十八碳醇酯

规格
項目 數值/特性 分子量 530.86 g/mol 熔点 ℃ 50-55℃ 产品形态 白色自由流动粉末 包装规格 25 kg/bag -
FORNAPLUS OX-1098
简介
这是一种高效,不变色的受阻酚类抗氧剂,适用于各类有机基材,如塑料,合成纤维,胶粘剂,弹性体,尤其适合聚酰胺塑料及纤维。
品牌
FORNAPLUS
型号
OX-1098
应用
尤其适合应用于聚酰胺注塑件,纤维和薄膜。也推荐用于聚缩醛,聚酯,聚氨酯,弹性体,粘合剂及其他有机基材。
化学名称
这是一种高效,不变色的受阻酚类抗氧剂,适用于各类有机基材,如塑料,合成纤维,胶粘剂,弹性体,尤其适合聚酰胺塑料及纤维。

规格
項目 數值/特性 分子量 637 g/mol 熔点 ℃ 156-161℃ 产品形态 白色自由流动粉末 包装规格 25 kg/bag -
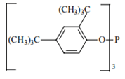
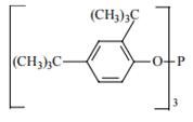
FORNAPLUS OX-168
简介
OX-168是耐水解亚磷酸酯类的加工稳定剂。作为辅助抗氧剂,它能与加工过程中聚合物氧化产生的过氧化氢反应,防止聚合物降解,并延长主抗氧剂的抗氧化性能。
品牌
FORNAPLUS
型号
OX-168
应用
它与其它抗氧剂配合使用,其应用的范围包括聚烯烃,如聚乙烯(HDPE,LLDPE),聚丙烯,聚丁烯,烯烃共聚物(EVA),聚碳酸酯,聚酰胺。它的复配物,亦可用于聚酯,苯乙烯均聚或共聚物,弹性体(包括丁基橡胶,SBS,SEBS)以及其它聚合物。也可与光稳定剂结合使用。
化学名称
三(2,4-二叔丁基苯基)亚磷酸酯

规格
項目 數值/特性 分子量 646.9 g/mol 熔点 ℃ 183-186℃ 产品形态 白色自由流动粉末 包装规格 25kg/bag -
FORNAPLUS OX-245
简介
OX-245, 一种高效受阻酚类抗氧剂,广泛用于各类聚合物,合成纤维,弹性体,胶粘剂,蜡,油类和油脂制品,有效防止这些物质的热氧化降解。
品牌
FORNAPLUS
型号
OX-245
应用
应用于聚苯乙烯,尤其是抗冲击聚苯乙烯,ABS,MBS,SBR 效果较好,也用于均聚/共聚甲醛。此外,它对聚氨酯,聚酰氨,热塑性聚酯,PVC 以及其它聚合物有很好的稳定化作用。除此之外,它也 PVC 聚合反应中有效的链终止剂。
化学名称
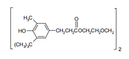
乙烯双(氧乙烯基)双[3-(5-叔丁基-4-羟基-间甲苯基)丙酸酯]

规格
項目 數值/特性 分子量 586.8g/mol 熔点 ℃ 76-79℃ 产品形态 白色自由流动粉末 包装规格 20kg/bag -
FORNAPLUS OX-B215
简介
一种增效加工/长效热稳定剂,由OX-1010, OX-168复配而成。
品牌
FORNAPLUS
型号
OX-B215
应用
应用范围包括聚烯烃,如聚乙烯,聚丙烯,聚丁烯,EVA。亦可用于工程塑料,苯乙烯均聚或共聚物,聚氨酯,弹性体,胶粘剂以及其它有机材料。可与光稳定剂产品结合使用。
化学名称
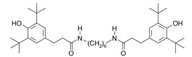
33% OX-1010, 67% OX-168


规格
項目 數值/特性 分子量 OX-1010: 1177.7 g/mol
OX-168: 646.9 g/mol产品形态 白色自由流动粉末 包装规格 25 kg/bag -
FORNAPLUS OX-B225
简介
一种增效加工/长效热稳定剂,由OX-1010, OX-168复配而成。
品牌
FORNAPLUS
型号
OX-B225
应用
应用范围包括聚烯烃,如聚乙烯,聚丙烯,聚丁烯,EVA。亦可用于工程塑料,苯乙烯均聚或共聚物,聚氨酯,弹性体,胶粘剂以及其它有机材料。可与光稳定剂产品结合使用。
化学名称
50% OX-1010, 50% OX-168


规格
項目 數值/特性 分子量 OX-1010: 1177.7 g/mol
OX-168: 646.9 g/mol产品形态 白色自由流动粉末 包装规格 25 kg/bag -
FORNAPLUS OX-B900
简介
一种增效加工/长效热稳定剂,由OX-1076, OX-168复配而成。
品牌
FORNAPLUS
型号
OX-B900
应用
应用范围包括聚乙烯及其共聚物,如 EVA。亦可用于工程塑料,如聚碳,苯乙烯均聚或共聚物,聚酯,聚氨酯,弹性体,胶粘剂以及其它有机材料。可与光稳定剂产品结合使用。
化学名称
20% OX-1076, 80% OX-168


规格
項目 數值/特性 分子量 OX-1076: 530.86 g/mol
OX-168: 646.9 g/mol产品形态 白色自由流动粉末 包装规格 25 kg/bag -
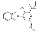
FORNAPLUS UV-234
简介
UV-234是分子量较大的酚基取代的苯并三唑类紫外线吸收剂,可为众多聚合物提供良好的光稳定化保护。
品牌
FORNAPLUS
型号
UV-234
应用
UV-234对诸如聚碳,聚酯,聚缩醛,聚酰胺,聚苯硫醚,聚苯醚,芳香族共聚物,聚氨酯热塑性弹性体,聚氨酯纤维需高温加工的聚合物,其紫外稳定性特别有效。同时也可应用于聚氯乙烯,均聚/共聚聚苯乙烯。加工工艺可包括模塑,片材,薄膜和纤维等。
化学名称
2-(2H-苯并三唑-2-基)-4,6-双(1-甲基-1-苯乙基)酚

规格
項目 數值/特性 分子量 447.6 g/mol 熔点 ℃ 137-141℃ 产品形态 淡黄色粉末 包装规格 20kg/bag -
FORNAPLUS UV-328
简介
UV-328是酚基取代的苯并三唑类紫外线吸收剂,可为塑料以及其它有机基材提供良好的光稳定化保护。
品牌
FORNAPLUS
型号
UV-328
应用
UV-328是多种塑料和有机基材的高效光稳定剂。推荐用于均聚/共聚聚苯乙烯,聚丙烯酸酯,不饱和聚酯,聚氯乙烯,聚烯烃,聚氨酯,聚碳,聚缩醛,聚乙烯醇缩丁醛,弹性体和粘结剂。
化学名称
2-(2H-苯并三唑-2-基)-4,6-二特戊基苯酚

规格
項目 數值/特性 分子量 351.5 g/mol 熔点 ℃ 80-88℃ 产品形态 淡黄色粉末 包装规格 20kg/bag -
FORNAPLUS UV-329
简介
UV-329是酚基取代的苯并三唑类紫外线吸收剂,可为塑料以及其它有机基材提供良好的光稳定化保护。
品牌
FORNAPLUS
型号
UV-329
应用
UV-329是多种塑料和有机基材的高效光稳定剂。保持模塑制品,薄膜,纤维和片材室外使用条件下表面原始外观和物理性能一致性。
化学名称
2-(2H-苯并三唑-2-基)-4-(1,1,3,3-四甲基丁基)苯酚

规格
項目 數值/特性 分子量 323 g/mol 熔点 ℃ 103-105℃ 产品形态 淡黄色粉末 包装规格 20kg/bag -
FORNAPLUS UV-531
简介
二苯酮类紫外线吸收剂,与受阻胺类光稳定剂联合使用,可提供良好的光稳定化保护。与聚烯烃和软 PVC 相容性好。
品牌
FORNAPLUS
型号
UV-531
应用
UV-531与受阻胺复配使用,主要应用于农膜中低密度,线性低密度聚乙烯以及EVA 共聚物。也可作为紫外线屏蔽剂,保护工业用/民用包装中的内容物。另外,与受阻胺光稳定剂复合使用,可用于高密度聚乙烯模塑制品,如周转箱。
也可为其它聚合物提供光稳定化保护,如软 PVC 和橡胶。也可与抗氧剂,亚磷酸酯,其它光稳定剂复配使用。
化学名称
2-羟基-4-辛氧基二苯甲酮

规格
項目 數值/特性 分子量 326.4 g/mol 熔点 ℃ 48-49℃ 产品形态 淡黄色粉末 包装规格 20kg/bag -
FORNAPLUS UV-770
简介
FORNAPLUS® UV-770 是受阻胺类光稳定剂,适用于对光稳定要求高的应用场合。它不仅为厚制件提供极佳的光稳定保护,同样也适用于表面积大的制品如薄膜和扁丝。
品牌
FORNAPLUS
型号
UV-770
应用
• 推荐 UV-770 使用在聚丙烯,抗冲改性聚丙烯(TPO),EPDM,聚苯乙烯,抗冲聚苯乙烯,ABS,SAN,ASA 和聚氨酯。对聚酰胺和聚缩醛同样有效。
• FORNAPLUS® UV-770 是低分子量的受阻胺类光稳定剂,可为厚制件及薄膜提供极佳的光稳定保护。使用 FORNAPLUS® UV-770 的优点在于它可提供出色的光稳定保护,对 PP 厚制件尤其有效。且相容性好,容易分散。
化学名称
癸二酸双-2,2,6,6-四甲基哌啶醇酯

规格
項目 數值/特性 分子量 481 g/mol 熔点 ℃ 81-85℃ 产品形态 白色结晶颗粒 包装规格 20kg/bag -
FORNAPLUS UV-P
简介
酚基取代的苯并三唑类紫外线吸收剂,可为众多树脂提供良好的光稳定化保护。
品牌
FORNAPLUS
型号
UV-P
应用
UV-P可为众多聚合物提供抗紫外保护,包括均聚/共聚苯乙烯,聚酯和聚丙烯酸等工程塑料,聚氯乙烯,含卤素均聚/共聚物(如亚乙烯基树脂),缩醛和酯化纤维。
也同时可应用于弹性体,粘结剂,聚碳,聚氨酯以及部分种类的酯化纤维和环氧树脂。
化学名称
2-(2-羟基-5-甲基-苯基)-2H-苯并三唑

规格
項目 數值/特性 分子量 225 g/mol 熔点 ℃ 128-132℃ 产品形态 淡黄色粉末 包装规格 20kg/bag

实验中心
在德国勒沃库森总部,福纳斯的科学家正于先进实验室中进行分子结构与分散效率的研究,确保每项添加剂的稳定性与性能表现。

工业4.0生产
福纳斯的欧洲生产基地采用自动化与数字监控系统,实现高效率与一致性的智能化制造流程。工程人员以数据为导向,确保每一批产品符合严格质量标准。

产业园产
FORNAX 总部坐落于德国化工重镇勒沃库森,周边聚集多家国际化工巨头,构建起欧洲先进的化学制造生态系统,支持全球技术输出。

巴西露天矿场
这座位于山谷中的大型露天矿场,展示了 FORNAX 或其合作伙伴在巴西的原材料供应能力。从资源开采到运输,每一环节都体现出工业规模与可持续开发理念。

澳洲矿场团队
身穿工装的矿工们正行走在澳洲矿场中,这不仅展现出高效的作业节奏,也彰显了 FORNAX 在澳洲严谨的安全管理与实地运营能力。澳洲作为全球钛矿资源的重要产地,是公司全球原料布局的关键一环。



