Dispersants & Processing Aids
The FORNAWAX and FORNAPLUS series of dispersing processing aids are widely used in plastics, masterbatches, coatings, and rubber industries. They enhance the dispersion of inorganic fillers and pigments while improving melt flow and processing consistency.
FORNAWAX focuses on high-efficiency dispersion and internal/external lubrication, while FORNAPLUS integrates stabilizing functions such as antioxidants to perform reliably under high temperature and shear. These additives provide comprehensive support for processing efficiency and end-product quality.
-
FORNAWAX 3A-740
Overview
● Melting point: 190℃. Used as an additive for processing ultra-high temperature films (such as PI),
● Solving the problem of thermal weight loss of low-temperature processing additives.Brand
FORNAWAX
Model No
3A-740
Industries
Application
● Contains amide groups and polarized high carbon chains (better than oleic acid amides and erucic acid amides) ;
● Outstanding smoothness and anti adhesion properties.Specifications
-
FORNAWAX 3A-735
Overview
● Melting point aT 135℃. Used as an anti-adhesion agent for hightemperature plastic films (TPE/TPU) ;
● Effectively replacing montan wax for both internal and external lubrication.Brand
FORNAWAX
Model No
3A-735
Industries
Application
● Contains amide groups and polarized high carbon chains (better than oleic acid amides and erucic acid amides);
● Outstanding smoothness and anti-adhesion properties.
● Reducing friction coefficient to below 0.2.Specifications
-
FORNAWAX 3M-501
Overview
Enhance the interfacial bonding between nylon PA66 and fiberglassBrand
FORNAWAX
Model No
3M-501
Industries
Application
● High grafting rate; a compatibilizer withh strong – polarity interface;
● High acid value and is specifically designed to enhance the interfacial bonding between nylon PA66 and fiberglass;
● Effectively reducing the occurance of floating fibers.Specifications
-
FORNAWAX 3V-203
Overview
Perfect for dispersion in carbon black systemBrand
FORNAWAX
Model No
3V-203
Industries
Application
● Offers effective dispersion and lubricity.
● Enhances filler compatibility
● Provides excellent impact resistance and thermal sealability.
● Exhibits excellent resistance to light, water, and corrosion.
● Significantly enhances processing efficiency
● Contains functional groups; and a strong – polarity interface compatibilizerSpecifications
-
FORNAWAX AC-2220
Overview
Excellent internal and external lubrication; good dispersionBrand
FORNAWAX
Model No
AC-2220
Industries
Application
● Polyolefins such as PE, PP
● PVC processing lubricant
● Filler
● Predispersed pigment
● MasterbatchSpecifications
-
FORNAWAX OL-10
Overview
Brand
FORNAWAX
Model No
OL-10
Industries
Application
• The product exhibits higher melting and softening points than natural waxes and other synthetic waxes, with superior hardness compared to most natural waxes.
• Superior heat resistance and thermal stability.
• Excellent compatibility with polar polymers, inorganic compounds, metal compounds, and related
• Superior polishability, self-healing properties, scratch resistance, and durability.Specifications
Item Unit Typical Value / Properties Drop Melting Point °C 101 Viscosity @140°C cps 200 Hardness @25°C 10-1mm 3-6 Density g/cm3 0.93 Acid Value mgKOH/g 14-17 Appearance White Powder -
FORNAWAX OH-24
Overview
Brand
FORNAWAX
Model No
OH-24
Industries
Application
• Improve flowability of materials
• Adjust plasticizing time
• Improve product surface gloss
• Excellent dispersant and release agent
• Applied to transparent productsSpecifications
Item Unit Typical Value / Properties Softening Point °C 133 Viscosity @160°C mPa·s 8000-13000 Hardness @25°C 10-1mm ~1.0 Density g/cm3 0.99 Acid Value mgKOH/g 23-28 Appearance White Powder Size mm <1 -
FORNAWAX AC-2450
Overview
Brand
FORNAWAX
Model No
AC-2450
Industries
Application
• Improve flowability of materials
• Adjust plasticizing time
• Effective dispersing agent and release agent
• Paraffin crystal nucleator in wax blends such as candlesSpecifications
Item Unit Typical Value / Properties Softening Point °C 107 Viscosity @140°C mPa·s 400-500 Hardness @25°C 10-1mm >3.0 Density g/cm3 0.92 Appearance White Powder -
FORNAWAX AC-2030
Overview
Brand
FORNAWAX
Model No
AC-2030
Industries
Application
• Improve flowability of materials
• Adjust plasticizing time
• Improve the dispersion of inorganic substances
• Improve mold release and product surface glossSpecifications
Item Unit Typical Value / Properties Softening Point °C 106-110 Viscosity @140°C mPa·s 20-30 Hardness @25°C 10-1mm ~3.0 Penetration 10-1mm 1.0-3.0 Density g/cm3 0.92 Appearance White Powder
-
FORNAWAX XS-326
Overview
A modified polysiloxane product after surface treatment for:
● Polyolefins such as PE, PP
● Functional polymers such as PA6, PA66
● Filling base materials
● Industrial polymers
● MasterbatchesBrand
FORNAWAX
Model No
XS-326
Industries
Application
● Improve processing fluidity of plastics and demolding performance.
● Reduce torque; reduce wearing of equipment and facilitate mold release.
● Reducing product defect rates.
● Significantly reduce friction coefficients and improve smooth performance.
● Improve surface gloss and enhance surface silk-like texture.
● Improve abrasion resistance and scratch resistance,
● Improve flame retardant performance;
● Reduce smoke density; and enhance the flame retardancy (high filling) material impact strength and surface gloss.
● Enhance good stability and prevent migration
● Reduces torque, improves melt index of wire and cable mixtures.
● Not recommended to use for transparent products.Specifications
-
FORNAWAX XS-350
Overview
As organic silicon plastic processing aid with polarized groups at both ends; and as lubricatiing and dispersing agents for pigments and fillers:
● Polyolefins such as PE, PP
● Functional polymers such as PA6, PA66
● Filling base materials
● Industrial polymers
● MasterbatchesBrand
FORNAWAX
Model No
XS-350
Industries
Application
Significantly disperse fillers and pigments:
● Significantly improve the dispersibility of fillers (such as flame retardants, glass fibers, etc.) during the extrusion process; thereby enhancing the flame retardant or mechanical properties of the products.
● Improve surface gloss and smoothness; eliminate surface defects caused by adding fillers (such as glass fibers); and reduce the defect rate.
● Increase the addition amount of fillers and reduce production costs.
Excellent lubricating performance:
● Increase speed of product extrusion; reduce defective rate; and improve the fluidity of plastic processing
● Reduce torque, and enhance mold release and demolding capabilities.
● Improve surface smoothness (hand feel), abrasion resistance, and scratch resistance of the products.
● Enhance self-cleaning performance of the products.
No migration, good stability:
● Good compatibility with polymer carriers, no progressive migration tendency.Specifications
-
FORNAWAX 3A-740
Overview
● Melting point: 190℃. Used as an additive for processing ultra-high temperature films (such as PI),
● Solving the problem of thermal weight loss of low-temperature processing additives.Brand
FORNAWAX
Model No
3A-740
Industries
Application
● Contains amide groups and polarized high carbon chains (better than oleic acid amides and erucic acid amides) ;
● Outstanding smoothness and anti adhesion properties.Specifications
-
FORNAWAX 3A-735
Overview
● Melting point aT 135℃. Used as an anti-adhesion agent for hightemperature plastic films (TPE/TPU) ;
● Effectively replacing montan wax for both internal and external lubrication.Brand
FORNAWAX
Model No
3A-735
Industries
Application
● Contains amide groups and polarized high carbon chains (better than oleic acid amides and erucic acid amides);
● Outstanding smoothness and anti-adhesion properties.
● Reducing friction coefficient to below 0.2.Specifications
-
FORNAWAX 3E-402
Overview
PC/ABS AlloysBrand
FORNAWAX
Model No
3E-402
Industries
Application
● As an interface compatibilizer with strong polarity;
● it is used for PC/ABS alloy to enhance compatibility and reduce the risk of forming stress cracking.Specifications
-
FORNAWAX XS-320
Overview
Brand
FORNAWAX
Model No
XS-320
Industries
Application
• Increase the loading capacity of pigments and fillers
• Significantly enhance the melt flow properties and increase the melt flow index
• Mitigate filament breakage and fiber strength reduction caused by pigment agglomeration during spinning; Reduce agglomeration formation and prevent re-agglomeration of fillers and pigments
• Improve the compatibility between fillers and matrix resin, enhancing the toughness of modified polymers
• Enhances the surface appearance and processing performance of modified polymers
• Improves production efficiency and molding yield rate
• Excellent thermal stabilitySpecifications
Item Unit Typical Value / Properties Dropping Point °C 130 Stacking Density kg/m3 0.5-0.6 Acid Value mgKOH/g 22 Appearance White Powder -
FORNAWAX XS-310
Overview
Brand
FORNAWAX
Model No
XS-310
Industries
Application
• Increase the loading capacity of pigments and fillers
• Significantly enhance the melt flow properties and increase the melt flow index
• Mitigate filament breakage and fiber strength reduction caused by pigment agglomeration during spinning; Reduce agglomeration formation and prevent re-agglomeration of fillers and pigments
• Improve the compatibility between fillers and matrix resin, enhancing the toughness of modified polymers
• Enhances the surface appearance and processing performance of modified polymers
• Improves production efficiency and molding yield rate
• Excellent thermal stabilitySpecifications
Item Unit Typical Value / Properties Dropping Point °C 130 Viscosity @150°C mPa·s <1000 Appearance White Powder
-
FORNAWAX XS-326
Overview
A modified polysiloxane product after surface treatment for:
● Polyolefins such as PE, PP
● Functional polymers such as PA6, PA66
● Filling base materials
● Industrial polymers
● MasterbatchesBrand
FORNAWAX
Model No
XS-326
Industries
Application
● Improve processing fluidity of plastics and demolding performance.
● Reduce torque; reduce wearing of equipment and facilitate mold release.
● Reducing product defect rates.
● Significantly reduce friction coefficients and improve smooth performance.
● Improve surface gloss and enhance surface silk-like texture.
● Improve abrasion resistance and scratch resistance,
● Improve flame retardant performance;
● Reduce smoke density; and enhance the flame retardancy (high filling) material impact strength and surface gloss.
● Enhance good stability and prevent migration
● Reduces torque, improves melt index of wire and cable mixtures.
● Not recommended to use for transparent products.Specifications
-
FORNAWAX XS-350
Overview
As organic silicon plastic processing aid with polarized groups at both ends; and as lubricatiing and dispersing agents for pigments and fillers:
● Polyolefins such as PE, PP
● Functional polymers such as PA6, PA66
● Filling base materials
● Industrial polymers
● MasterbatchesBrand
FORNAWAX
Model No
XS-350
Industries
Application
Significantly disperse fillers and pigments:
● Significantly improve the dispersibility of fillers (such as flame retardants, glass fibers, etc.) during the extrusion process; thereby enhancing the flame retardant or mechanical properties of the products.
● Improve surface gloss and smoothness; eliminate surface defects caused by adding fillers (such as glass fibers); and reduce the defect rate.
● Increase the addition amount of fillers and reduce production costs.
Excellent lubricating performance:
● Increase speed of product extrusion; reduce defective rate; and improve the fluidity of plastic processing
● Reduce torque, and enhance mold release and demolding capabilities.
● Improve surface smoothness (hand feel), abrasion resistance, and scratch resistance of the products.
● Enhance self-cleaning performance of the products.
No migration, good stability:
● Good compatibility with polymer carriers, no progressive migration tendency.Specifications
-
FORNAWAX 3E-402
Overview
PC/ABS AlloysBrand
FORNAWAX
Model No
3E-402
Industries
Application
● As an interface compatibilizer with strong polarity;
● it is used for PC/ABS alloy to enhance compatibility and reduce the risk of forming stress cracking.Specifications
-
FORNAWAX 3M-501
Overview
Enhance the interfacial bonding between nylon PA66 and fiberglassBrand
FORNAWAX
Model No
3M-501
Industries
Application
● High grafting rate; a compatibilizer withh strong – polarity interface;
● High acid value and is specifically designed to enhance the interfacial bonding between nylon PA66 and fiberglass;
● Effectively reducing the occurance of floating fibers.Specifications
-
FORNAWAX 3V-203
Overview
Perfect for dispersion in carbon black systemBrand
FORNAWAX
Model No
3V-203
Industries
Application
● Offers effective dispersion and lubricity.
● Enhances filler compatibility
● Provides excellent impact resistance and thermal sealability.
● Exhibits excellent resistance to light, water, and corrosion.
● Significantly enhances processing efficiency
● Contains functional groups; and a strong – polarity interface compatibilizerSpecifications
-
FORNAWAX XV-203
Overview
Brand
FORNAWAX
Model No
XV-203
Industries
Application
• Effective dispersion and lubricity
• Enhance filler compatibility
• Excellent impact resistance and thermal sealability
• Excellent light resistance, water resistance, corrosion resistance
• Significantly enhance production process efficiencySpecifications
Item Unit Typical Value / Properties Softening Point °C 101-107 Viscosity @140°C mPa·s 400-500 Hardness @25° 10-1mm ~3.0 Penetration 10-1mm <6 Density g/cm3 0.92 Acid Value mgKOH/g 13 Appearance White Powder -
FORNAWAX XS-320
Overview
Brand
FORNAWAX
Model No
XS-320
Industries
Application
• Increase the loading capacity of pigments and fillers
• Significantly enhance the melt flow properties and increase the melt flow index
• Mitigate filament breakage and fiber strength reduction caused by pigment agglomeration during spinning; Reduce agglomeration formation and prevent re-agglomeration of fillers and pigments
• Improve the compatibility between fillers and matrix resin, enhancing the toughness of modified polymers
• Enhances the surface appearance and processing performance of modified polymers
• Improves production efficiency and molding yield rate
• Excellent thermal stabilitySpecifications
Item Unit Typical Value / Properties Dropping Point °C 130 Stacking Density kg/m3 0.5-0.6 Acid Value mgKOH/g 22 Appearance White Powder -
FORNAWAX XS-310
Overview
Brand
FORNAWAX
Model No
XS-310
Industries
Application
• Increase the loading capacity of pigments and fillers
• Significantly enhance the melt flow properties and increase the melt flow index
• Mitigate filament breakage and fiber strength reduction caused by pigment agglomeration during spinning; Reduce agglomeration formation and prevent re-agglomeration of fillers and pigments
• Improve the compatibility between fillers and matrix resin, enhancing the toughness of modified polymers
• Enhances the surface appearance and processing performance of modified polymers
• Improves production efficiency and molding yield rate
• Excellent thermal stabilitySpecifications
Item Unit Typical Value / Properties Dropping Point °C 130 Viscosity @150°C mPa·s <1000 Appearance White Powder
-
FORNAWAX 3A-740
Overview
● Melting point: 190℃. Used as an additive for processing ultra-high temperature films (such as PI),
● Solving the problem of thermal weight loss of low-temperature processing additives.Brand
FORNAWAX
Model No
3A-740
Industries
Application
● Contains amide groups and polarized high carbon chains (better than oleic acid amides and erucic acid amides) ;
● Outstanding smoothness and anti adhesion properties.Specifications
-
FORNAWAX 3A-735
Overview
● Melting point aT 135℃. Used as an anti-adhesion agent for hightemperature plastic films (TPE/TPU) ;
● Effectively replacing montan wax for both internal and external lubrication.Brand
FORNAWAX
Model No
3A-735
Industries
Application
● Contains amide groups and polarized high carbon chains (better than oleic acid amides and erucic acid amides);
● Outstanding smoothness and anti-adhesion properties.
● Reducing friction coefficient to below 0.2.Specifications
-
FORNAWAX OL-10
Overview
Brand
FORNAWAX
Model No
OL-10
Industries
Application
• The product exhibits higher melting and softening points than natural waxes and other synthetic waxes, with superior hardness compared to most natural waxes.
• Superior heat resistance and thermal stability.
• Excellent compatibility with polar polymers, inorganic compounds, metal compounds, and related
• Superior polishability, self-healing properties, scratch resistance, and durability.Specifications
Item Unit Typical Value / Properties Drop Melting Point °C 101 Viscosity @140°C cps 200 Hardness @25°C 10-1mm 3-6 Density g/cm3 0.93 Acid Value mgKOH/g 14-17 Appearance White Powder -
FORNAWAX OH-24
Overview
Brand
FORNAWAX
Model No
OH-24
Industries
Application
• Improve flowability of materials
• Adjust plasticizing time
• Improve product surface gloss
• Excellent dispersant and release agent
• Applied to transparent productsSpecifications
Item Unit Typical Value / Properties Softening Point °C 133 Viscosity @160°C mPa·s 8000-13000 Hardness @25°C 10-1mm ~1.0 Density g/cm3 0.99 Acid Value mgKOH/g 23-28 Appearance White Powder Size mm <1 -
FORNAWAX AC-2030
Overview
Brand
FORNAWAX
Model No
AC-2030
Industries
Application
• Improve flowability of materials
• Adjust plasticizing time
• Improve the dispersion of inorganic substances
• Improve mold release and product surface glossSpecifications
Item Unit Typical Value / Properties Softening Point °C 106-110 Viscosity @140°C mPa·s 20-30 Hardness @25°C 10-1mm ~3.0 Penetration 10-1mm 1.0-3.0 Density g/cm3 0.92 Appearance White Powder
-
FORNAWAX AC-2220
Overview
Excellent internal and external lubrication; good dispersionBrand
FORNAWAX
Model No
AC-2220
Industries
Application
● Polyolefins such as PE, PP
● PVC processing lubricant
● Filler
● Predispersed pigment
● MasterbatchSpecifications
-
FORNAWAX AC-2450
Overview
Brand
FORNAWAX
Model No
AC-2450
Industries
Application
• Improve flowability of materials
• Adjust plasticizing time
• Effective dispersing agent and release agent
• Paraffin crystal nucleator in wax blends such as candlesSpecifications
Item Unit Typical Value / Properties Softening Point °C 107 Viscosity @140°C mPa·s 400-500 Hardness @25°C 10-1mm >3.0 Density g/cm3 0.92 Appearance White Powder
-
FORNAPLUS OX-1076
Overview
OX-1076, An efficient, non-staining hindered phenolic antioxidant. Suitable for use in plastics, synthetic fibers, elastomers, adhesives, waxes, fats and oils to prevent thermal and oxidative degradation of substrates. Odorless, light-stable, and resistant to discoloration. It exhibits excellent compatibility with substrates, low volatility, and superior resistance to leaching.Brand
FORNAPLUS
Model No
OX-1076
Industries
Application
OX-1076, An efficient, non-staining hindered phenolic antioxidant. Suitable for use in plastics, synthetic fibers, elastomers, adhesives, waxes, fats and oils to prevent thermal and oxidative degradation of substrates. Odorless, light-stable, and resistant to discoloration. It exhibits excellent compatibility with substrates, low volatility, and superior resistance to leaching.Chemical Name
Octadecyl-[3-(3,5-di-tert-butyl-4-hydroxyphenyl)propionate]
Chemical Structure

Specifications
Item Typical Value / Properties Molecular Weight 530.86 g/mol Melting Point ℃ 50-55℃ Product Forms White free-flowing powder Packing Specification 25 kg/bag
-
FORNAWAX XS-326
Overview
A modified polysiloxane product after surface treatment for:
● Polyolefins such as PE, PP
● Functional polymers such as PA6, PA66
● Filling base materials
● Industrial polymers
● MasterbatchesBrand
FORNAWAX
Model No
XS-326
Industries
Application
● Improve processing fluidity of plastics and demolding performance.
● Reduce torque; reduce wearing of equipment and facilitate mold release.
● Reducing product defect rates.
● Significantly reduce friction coefficients and improve smooth performance.
● Improve surface gloss and enhance surface silk-like texture.
● Improve abrasion resistance and scratch resistance,
● Improve flame retardant performance;
● Reduce smoke density; and enhance the flame retardancy (high filling) material impact strength and surface gloss.
● Enhance good stability and prevent migration
● Reduces torque, improves melt index of wire and cable mixtures.
● Not recommended to use for transparent products.Specifications
-
FORNAWAX XS-350
Overview
As organic silicon plastic processing aid with polarized groups at both ends; and as lubricatiing and dispersing agents for pigments and fillers:
● Polyolefins such as PE, PP
● Functional polymers such as PA6, PA66
● Filling base materials
● Industrial polymers
● MasterbatchesBrand
FORNAWAX
Model No
XS-350
Industries
Application
Significantly disperse fillers and pigments:
● Significantly improve the dispersibility of fillers (such as flame retardants, glass fibers, etc.) during the extrusion process; thereby enhancing the flame retardant or mechanical properties of the products.
● Improve surface gloss and smoothness; eliminate surface defects caused by adding fillers (such as glass fibers); and reduce the defect rate.
● Increase the addition amount of fillers and reduce production costs.
Excellent lubricating performance:
● Increase speed of product extrusion; reduce defective rate; and improve the fluidity of plastic processing
● Reduce torque, and enhance mold release and demolding capabilities.
● Improve surface smoothness (hand feel), abrasion resistance, and scratch resistance of the products.
● Enhance self-cleaning performance of the products.
No migration, good stability:
● Good compatibility with polymer carriers, no progressive migration tendency.Specifications
-
FORNAWAX 3A-740
Overview
● Melting point: 190℃. Used as an additive for processing ultra-high temperature films (such as PI),
● Solving the problem of thermal weight loss of low-temperature processing additives.Brand
FORNAWAX
Model No
3A-740
Industries
Application
● Contains amide groups and polarized high carbon chains (better than oleic acid amides and erucic acid amides) ;
● Outstanding smoothness and anti adhesion properties.Specifications
-
FORNAWAX 3A-735
Overview
● Melting point aT 135℃. Used as an anti-adhesion agent for hightemperature plastic films (TPE/TPU) ;
● Effectively replacing montan wax for both internal and external lubrication.Brand
FORNAWAX
Model No
3A-735
Industries
Application
● Contains amide groups and polarized high carbon chains (better than oleic acid amides and erucic acid amides);
● Outstanding smoothness and anti-adhesion properties.
● Reducing friction coefficient to below 0.2.Specifications
-
FORNAWAX 3E-402
Overview
PC/ABS AlloysBrand
FORNAWAX
Model No
3E-402
Industries
Application
● As an interface compatibilizer with strong polarity;
● it is used for PC/ABS alloy to enhance compatibility and reduce the risk of forming stress cracking.Specifications
-
FORNAWAX XS-320
Overview
Brand
FORNAWAX
Model No
XS-320
Industries
Application
• Increase the loading capacity of pigments and fillers
• Significantly enhance the melt flow properties and increase the melt flow index
• Mitigate filament breakage and fiber strength reduction caused by pigment agglomeration during spinning; Reduce agglomeration formation and prevent re-agglomeration of fillers and pigments
• Improve the compatibility between fillers and matrix resin, enhancing the toughness of modified polymers
• Enhances the surface appearance and processing performance of modified polymers
• Improves production efficiency and molding yield rate
• Excellent thermal stabilitySpecifications
Item Unit Typical Value / Properties Dropping Point °C 130 Stacking Density kg/m3 0.5-0.6 Acid Value mgKOH/g 22 Appearance White Powder -
FORNAWAX XS-310
Overview
Brand
FORNAWAX
Model No
XS-310
Industries
Application
• Increase the loading capacity of pigments and fillers
• Significantly enhance the melt flow properties and increase the melt flow index
• Mitigate filament breakage and fiber strength reduction caused by pigment agglomeration during spinning; Reduce agglomeration formation and prevent re-agglomeration of fillers and pigments
• Improve the compatibility between fillers and matrix resin, enhancing the toughness of modified polymers
• Enhances the surface appearance and processing performance of modified polymers
• Improves production efficiency and molding yield rate
• Excellent thermal stabilitySpecifications
Item Unit Typical Value / Properties Dropping Point °C 130 Viscosity @150°C mPa·s <1000 Appearance White Powder
-
FORNAWAX 3M-501
Industries
Overview
Enhance the interfacial bonding between nylon PA66 and fiberglassBrand
FORNAWAX
Model No
3M-501
Industries
Application
● High grafting rate; a compatibilizer withh strong – polarity interface;
● High acid value and is specifically designed to enhance the interfacial bonding between nylon PA66 and fiberglass;
● Effectively reducing the occurance of floating fibers.Specifications
-
FORNAWAX 3V-203
Industries
Overview
Perfect for dispersion in carbon black systemBrand
FORNAWAX
Model No
3V-203
Industries
Application
● Offers effective dispersion and lubricity.
● Enhances filler compatibility
● Provides excellent impact resistance and thermal sealability.
● Exhibits excellent resistance to light, water, and corrosion.
● Significantly enhances processing efficiency
● Contains functional groups; and a strong – polarity interface compatibilizerSpecifications
-
FORNAWAX AC-2220
Industries
Overview
Excellent internal and external lubrication; good dispersionBrand
FORNAWAX
Model No
AC-2220
Industries
Application
● Polyolefins such as PE, PP
● PVC processing lubricant
● Filler
● Predispersed pigment
● MasterbatchSpecifications
-
FORNAWAX XV-203
Industries
Overview
Brand
FORNAWAX
Model No
XV-203
Industries
Application
• Effective dispersion and lubricity
• Enhance filler compatibility
• Excellent impact resistance and thermal sealability
• Excellent light resistance, water resistance, corrosion resistance
• Significantly enhance production process efficiencySpecifications
Item Unit Typical Value / Properties Softening Point °C 101-107 Viscosity @140°C mPa·s 400-500 Hardness @25° 10-1mm ~3.0 Penetration 10-1mm <6 Density g/cm3 0.92 Acid Value mgKOH/g 13 Appearance White Powder -
FORNAWAX OL-10
Industries
Overview
Brand
FORNAWAX
Model No
OL-10
Industries
Application
• The product exhibits higher melting and softening points than natural waxes and other synthetic waxes, with superior hardness compared to most natural waxes.
• Superior heat resistance and thermal stability.
• Excellent compatibility with polar polymers, inorganic compounds, metal compounds, and related
• Superior polishability, self-healing properties, scratch resistance, and durability.Specifications
Item Unit Typical Value / Properties Drop Melting Point °C 101 Viscosity @140°C cps 200 Hardness @25°C 10-1mm 3-6 Density g/cm3 0.93 Acid Value mgKOH/g 14-17 Appearance White Powder -
FORNAWAX OH-24
Industries
Overview
Brand
FORNAWAX
Model No
OH-24
Industries
Application
• Improve flowability of materials
• Adjust plasticizing time
• Improve product surface gloss
• Excellent dispersant and release agent
• Applied to transparent productsSpecifications
Item Unit Typical Value / Properties Softening Point °C 133 Viscosity @160°C mPa·s 8000-13000 Hardness @25°C 10-1mm ~1.0 Density g/cm3 0.99 Acid Value mgKOH/g 23-28 Appearance White Powder Size mm <1 -
FORNAWAX AC-2450
Industries
Overview
Brand
FORNAWAX
Model No
AC-2450
Industries
Application
• Improve flowability of materials
• Adjust plasticizing time
• Effective dispersing agent and release agent
• Paraffin crystal nucleator in wax blends such as candlesSpecifications
Item Unit Typical Value / Properties Softening Point °C 107 Viscosity @140°C mPa·s 400-500 Hardness @25°C 10-1mm >3.0 Density g/cm3 0.92 Appearance White Powder -
FORNAWAX AC-2030
Industries
Overview
Brand
FORNAWAX
Model No
AC-2030
Industries
Application
• Improve flowability of materials
• Adjust plasticizing time
• Improve the dispersion of inorganic substances
• Improve mold release and product surface glossSpecifications
Item Unit Typical Value / Properties Softening Point °C 106-110 Viscosity @140°C mPa·s 20-30 Hardness @25°C 10-1mm ~3.0 Penetration 10-1mm 1.0-3.0 Density g/cm3 0.92 Appearance White Powder
-
FORNAPLUS OX-168
Overview
OX-168, a processing stabilizer for hydrolysis-resistant phosphites. As a secondary antioxidant, it can react with hydrogen peroxide produced by polymer oxidation during processing to prevent polymer degradation and prolong the antioxidant properties of the primary antioxidant.Brand
FORNAPLUS
Model No
OX-168
Industries
Application
OX-168, a processing stabilizer for hydrolysis-resistant phosphites. As a secondary antioxidant, it can react with hydrogen peroxide produced by polymer oxidation during processing to prevent polymer degradation and prolong the antioxidant properties of the primary antioxidant.Chemical Name
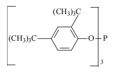
Tris(2,4-ditert-butylphenyl)phosphite
Chemical Structure

Specifications
Item Typical Value / Properties Molecular Weight 646.9 g/mol Melting Point ℃ 183-186℃ Product Forms White free-flowing powder Packing Specification 25kg/bag -
FORNAPLUS OX-B900
Overview
OX-B900, A synergistic processing/long-term thermal stabilizer formulated from a blend of OX-1076 and OX-168.Brand
FORNAPLUS
Model No
OX-B900
Industries
Application
OX-B900, A synergistic processing/long-term thermal stabilizer formulated from a blend of OX-1076 and OX-168.Chemical Name
20% OX-1076, 80% OX-168
Chemical Structure


Specifications
Item Typical Value / Properties Molecular Weight OX-1076: 530.86 g/mol
OX-168: 646.9 g/molProduct Forms White free-flowing powder Packing Specification 25 kg/bag -
FORNAPLUS OX-B225
Overview
OX-B225, A synergistic processing/long-term thermal stabilizer formulated from a blend of OX-1010 and OX-168.Brand
FORNAPLUS
Model No
OX-B225
Industries
Application
OX-B225, A synergistic processing/long-term thermal stabilizer formulated from a blend of OX-1010 and OX-168.Chemical Name
50% OX-1010, 50% OX-168
Chemical Structure


Specifications
Item Typical Value / Properties Molecular Weight OX-1010: 1177.7 g/mol
OX-168: 646.9 g/molProduct Forms White free-flowing powder Packing Specification 25 kg/bag -
FORNAPLUS OX-B215
Overview
OX-B215, A synergistic processing/long-term thermal stabilizer formulated from a blend of OX-1010 and OX-168.Brand
FORNAPLUS
Model No
OX-B215
Industries
Application
OX-B215, A synergistic processing/long-term thermal stabilizer formulated from a blend of OX-1010 and OX-168.Chemical Name
33% OX-1010, 67% OX-168
Chemical Structure


Specifications
Item Typical Value / Properties Molecular Weight OX-1010: 1177.7 g/mol
OX-168: 646.9 g/molProduct Forms White free-flowing powder Packing Specification 25 kg/bag -
FORNAPLUS OX-1098
Overview
OX-1098, A highly efficient, non-discoloring hindered phenolic antioxidant, suitable for various organic substrates such as plastics, synthetic fibers, adhesives, and elastomers, with particular efficacy in polyamide plastics and fibers.Brand
FORNAPLUS
Model No
OX-1098
Industries
Application
OX-1098, A highly efficient, non-discoloring hindered phenolic antioxidant, suitable for various organic substrates such as plastics, synthetic fibers, adhesives, and elastomers, with particular efficacy in polyamide plastics and fibers.Chemical Name
N, N’-hexane-1,6-diylbis(3-(3,5-di-tert.-butyl-4-hydroxyphenylpropionamide))
Chemical Structure

Specifications
Item Typical Value / Properties Molecular Weight 637 g/mol Melting Point ℃ 156-161℃ Product Forms White free-flowing powder Packing Specification 25 kg/bag -
FORNAPLUS OX-1076
Overview
OX-1076, An efficient, non-staining hindered phenolic antioxidant. Suitable for use in plastics, synthetic fibers, elastomers, adhesives, waxes, fats and oils to prevent thermal and oxidative degradation of substrates. Odorless, light-stable, and resistant to discoloration. It exhibits excellent compatibility with substrates, low volatility, and superior resistance to leaching.Brand
FORNAPLUS
Model No
OX-1076
Industries
Application
OX-1076, An efficient, non-staining hindered phenolic antioxidant. Suitable for use in plastics, synthetic fibers, elastomers, adhesives, waxes, fats and oils to prevent thermal and oxidative degradation of substrates. Odorless, light-stable, and resistant to discoloration. It exhibits excellent compatibility with substrates, low volatility, and superior resistance to leaching.Chemical Name
Octadecyl-[3-(3,5-di-tert-butyl-4-hydroxyphenyl)propionate]
Chemical Structure

Specifications
Item Typical Value / Properties Molecular Weight 530.86 g/mol Melting Point ℃ 50-55℃ Product Forms White free-flowing powder Packing Specification 25 kg/bag -
FORNAPLUS OX-1010
Overview
OX-1010, An efficient, non-staining hindered phenolic antioxidant. It can be used in plastics, synthetic fibers, elastomers, adhesives, waxes, fats and oils to prevent thermal and oxidative degradation of substrates.Brand
FORNAPLUS
Model No
OX-1010
Industries
Application
OX-1010, An efficient, non-staining hindered phenolic antioxidant. It can be used in plastics, synthetic fibers, elastomers, adhesives, waxes, fats and oils to prevent thermal and oxidative degradation of substrates.Chemical Name
Pentaerythritol tetrakis(3-(3,5-di-tert-butyl-4-hydroxyphenyl)propionate)
Chemical Structure

Specifications
Item Typical Value / Properties Molecular Weight 1178 g/mol Melting Point ℃ 110-125℃ Product Forms White free-flowing powder Packing Specification 25 kg/bag -
FORNAPLUS OX-245
Overview
OX-245, A highly efficient hindered phenolic antioxidant, extensively used in various polymers, synthetic fibers, elastomers, adhesives, waxes, oils, and fat-based products to effectively prevent thermal and oxidative degradation of these materials.Brand
FORNAPLUS
Model No
OX-245
Industries
Application
OX-245, A highly efficient hindered phenolic antioxidant, extensively used in various polymers, synthetic fibers, elastomers, adhesives, waxes, oils, and fat-based products to effectively prevent thermal and oxidative degradation of these materials.Chemical Name
Ethylene bis(oxyethylene) bis-(3-(5-tert-butyl-4-hydroxy-m-tolyl)propionate)
Chemical Structure

Specifications
Item Typical Value / Properties Molecular Weight 586.8g/mol Melting Point ℃ 76-79℃ Product Forms White free-flowing powder Packing Specification 20kg/bag


